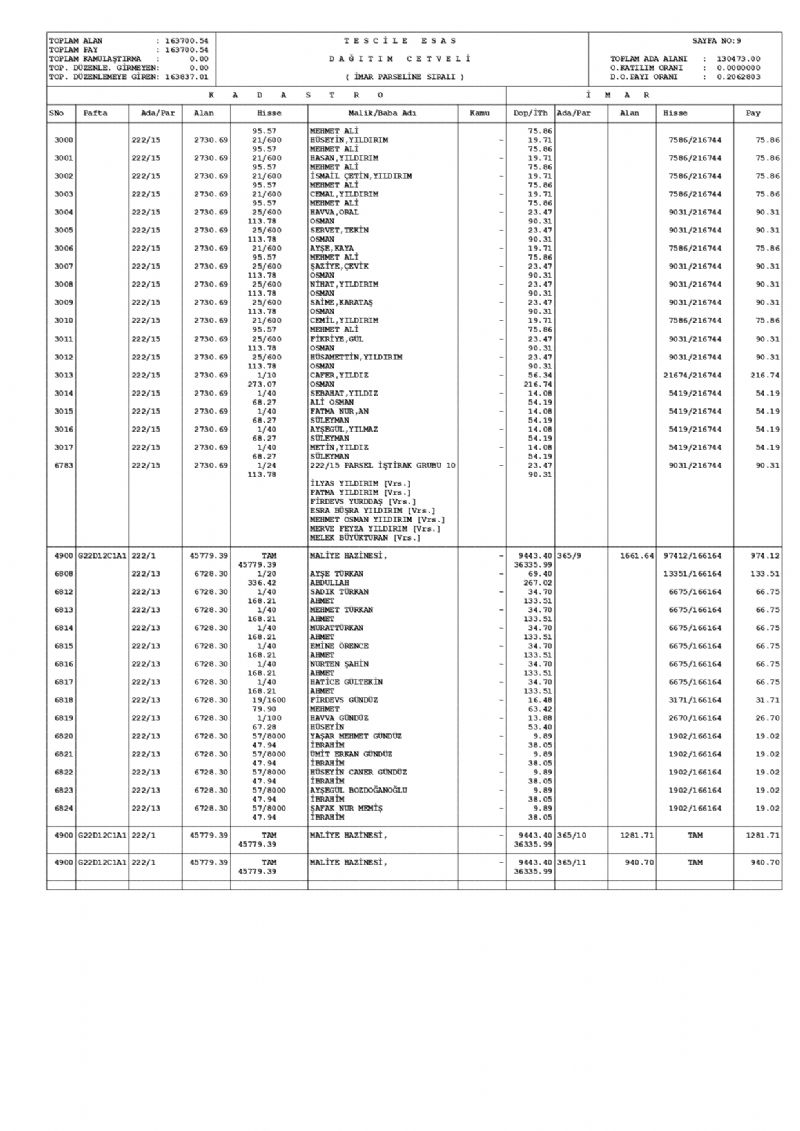
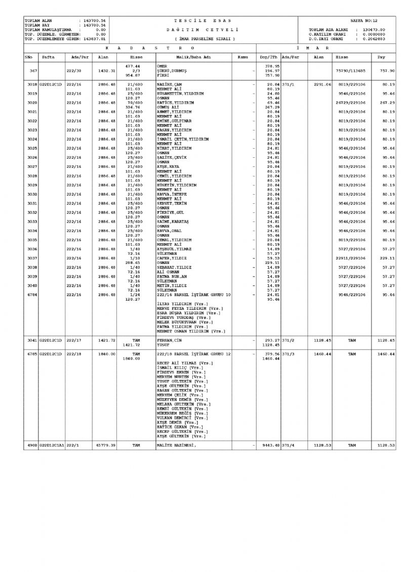
CUMHURIYET VE ISTIKLAL MAHALLESINDE YAPILAN 2. ETAP IMAR UYGULAMASINDA DÜZELTMELER YAPILMIŞ VE 30 GÜN SÜREYLE 4. KEZ ASKIYA CIKARILMISTIR CUMHURIYET VE ISTIKLAL MAHALLESINDE YAPILAN 2. ETAP IMAR UYGULAMASINDA DÜZELTMELER YAPILMIŞ VE 30 GÜN SÜREYLE 4. KEZ ASKIYA CIKARILMISTIR